SERVICE PHONE
363050.com发布时间:2025-11-10 07:15:30 点击量:
江苏超级足球联赛,江苏足协联赛,足球赛程,积分榜,江苏球队,足球直播,聚焦江苏超级足球联赛,提供2025年赛程、积分榜、参赛队伍资料、赛事直播及精华集锦,全民足球激情不断更新!随着泰州战胜南通夺冠,2025年苏超(江苏省城市足球联赛)结束了,江苏人民似乎一下子没球看了。苏超后重磅赛事名单出炉,苏州陆子皓无缘找南京杨笑天“复仇”!该项赛事就是第二届江苏省足球发展重点城市对抗赛,该赛事为两回合主客场制,11月22日晚上19:35,对抗赛首回合将在南京奥体中心体育场打响,由南京队主场对阵苏州队。
该事实要求参赛球员需是在1985年1月1日至2009年12月31日之间出生,差不多是要求16岁至40岁之间,还需满足户籍、社保、学籍或身份证属地等任一与代表城市相关。同时对年轻球员的出场作出限制,即每场比赛中2003年1月1日以后出生的球员上场人数不得少于5人,预计2026年的苏超也会有类似要求。
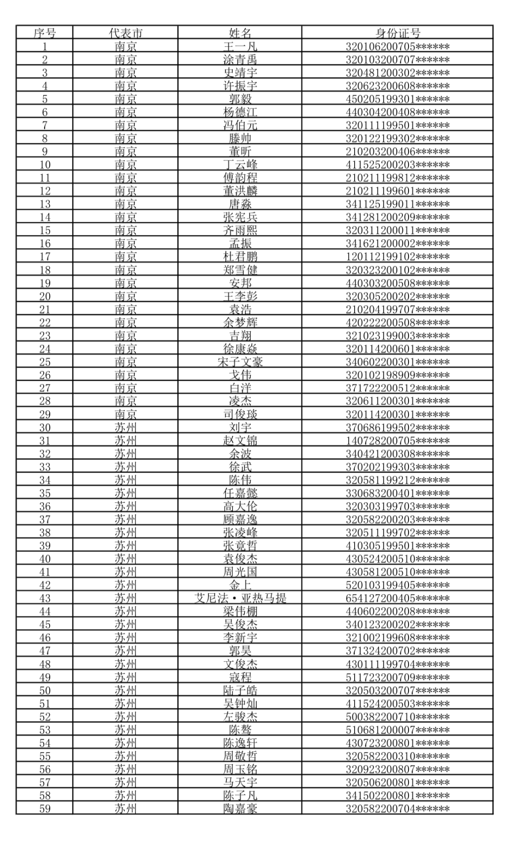
而且,赛事组委会对人员名单进行了公示,估计是担心后续有人拿这个说事,因为在泰州战胜南通夺冠后,有些球迷总拿泰州使用长春亚泰U21夺冠说事。对抗赛首回合球员名单公示时间为2025年11月7-13日。各参赛单位如对球员参赛资格有异议,须以设区市体育局的名义反馈给省体育局,需连同相关证据材料一并邮寄至指定地址,并发送扫描版至指定邮箱。
南京队这边主要是苏超南京队球员,以及南京城市队球员。知名球员有戈伟、腾帅(苏超最佳射手)、冯伯元、吉翔、郑雪健、唐淼、司俊琰等球员。苏州这边,主要是苏超苏州队,以及苏州东吴的球员。苏州队主教练是前国脚李玮锋,知名球员有寇程、陆子皓、高大伦、张凌峰等球员。
苏超第6轮,南京和苏州队交手过,南京主场0比0战平苏州队,这个比分没啥,当时引起轰动的是,倒是南京队长杨笑天一肘子锁喉,干倒苏州小将陆子皓。事后,杨笑天被追加停赛一场,也遭受了较大的舆论压力。杨笑天一度未上场。后续,杨笑天重回南京队,并继续担任队长。而本次对抗赛,杨笑天未进入名单,苏州陆子皓无缘找南京杨笑天“复仇”,当然这只是调侃,竞技体育,动作比较大,杨笑天也受到了惩罚。
江苏省足球发展重点城市对抗赛不仅设冠亚军,还有“最佳球员奖”、“最佳射手奖”、“最佳守门员奖”等个人奖项。从双方名单来看,南京队星光熠熠,纸面实力较强,但苏超南京队半决赛也输给了泰州队,而且本次对抗赛苏州队也很年轻,有冲劲。谁赢谁输还不好说,你支持南京还是苏州夺冠呢?返回搜狐,查看更多
